Fondi alle attività ordinarie del terzo settore, ecco come utilizzarli

Pubblicato l’Atto di indirizzo relativo al finanziamento di attività di interesse generale che stabilisce i criteri di utilizzo dei 100 milioni aggiuntivi previsti dal Decreto Rilancio a sostegno degli enti in sofferenza per emergenza Covid19 

di Lara Esposito

A causa dell’emergenza epidemiologica in corso, nonostante il sovraccarico di impegni anche gli enti del Terzo settore hanno sofferto un blocco delle attività che permettono il loro sostentamento economico. Per ricreare le condizioni necessarie alla loro ripresa, è stato destinato un fondo di 100 milioni di euro aggiuntivi all’art. 72 del Codice del Terzo settore da destinare alle attività ordinarie degli enti. Le modalità di gestione sono state definite nel decreto ministeriale 93 del 7 agosto 2020 e pubblicato ieri 14 settembre sul sito del Ministero del Lavoro e delle Politiche sociali.

Gli obiettivi generali attengono il contrasto alla povertà, agricoltura sostenibile, salute e benessere, educazione, uguaglianza di genere, dignità lavorativa e crescita economica, Le attività finanziabili fanno riferimento ad alcuni dei “goals” individuati nell’Agenda europea dello sviluppo sostenibile 2030 (Sdgs): Contrasto alla povertà (goal 1), promozione di un'agricoltura sostenibile (goal 2), salute e benessere (goal 3), educazione (goal 4); uguaglianza di genere (goal 5); dignità lavorativa (goal 8); riduzione delle disuguaglianze (goal 10) e miglioramento della qualità delle città (goal 11). Le linee di attività si identificano in una o più attività di interesse ricomprese tra quelle di cui all’art 5 del Codice del Terzo Settore.

La misura di sostegno economico aggiuntivo per il 2020 è una delle misure previste dal Decreto Rilancio (art. 67 dl 34/2020). Tali risorse andranno a finanziare, tramite un bando straordinario, le attività delle Odv, delle Aps e delle fondazioni del Terzo settore, volte a fronteggiare le emergenze sociali ed assistenziali determinate dall’epidemia di Covid-19.

L’Atto di indirizzo che precede la pubblicazione del vero e proprio bando destina l’equa distribuzione dei fondi tra iniziative di rilevanza nazionale e locale, assegnando 50 milioni di euro per le due diverse azioni.

Possono partecipare alle iniziative di rilevanza nazionale le Associazioni di promozione sociale (Aps) iscritte nel registro nazionale ad esclusione delle articolazioni territoriali e dei circoli affiliati alle Aps nazionali e le organizzazioni di volontariato (Odv) iscritte nei registri regionali (art. 6 della legge n. 266/1991) a condizione che posseggano i requisiti previsti per la qualifica di rete associativa (articolo 41, commi 1 e 2 del Codice del Terzo settore). Il contributo andrà a coprire, in parte, le spese per lo svolgimento delle attività statutarie degli enti mediante l’applicazione di una percentuale, uguale per tutti i proponenti, sul totale delle entrate relative all’ultimo bilancio consuntivo approvato.

Alle iniziative di rilevanza locale possono accedere le Organizzazioni di volontariato e le associazioni di promozione sociale iscritte nei registri regionali e provinciali e – in questo caso – anche le articolazioni territoriali e i circoli affiliati alle Aps iscritte nel registro nazionale. In attesa che diventi operativo il Registro unico nazionale del terzo settore, inoltre, possono partecipare anche le fondazioni iscritte al registro onlus.

Le modalità attraverso le quali sarà realizzato il sostegno degli enti a rilevanza locale saranno individuate dalle regioni e province autonome nel rispetto degli obiettivi generali, delle aree prioritarie di intervento, nonché delle eventuali ulteriori priorità emergenti a livello locale, delle linee di attività riportate nell’Atto di indirizzo. Anche in questo caso, il sostegno agli enti sopra individuati potrà avvenire sia attraverso il finanziamento di progetti, che attraverso l’attribuzione di risorse economiche destinate allo svolgimento dell’ordinaria attività statutaria degli enti. In ogni caso, i soggetti beneficiari delle provvidenze economiche dovranno essere selezionati nel rispetto dei principi di pubblicità, par condicio e predeterminazione dei criteri di concessione.

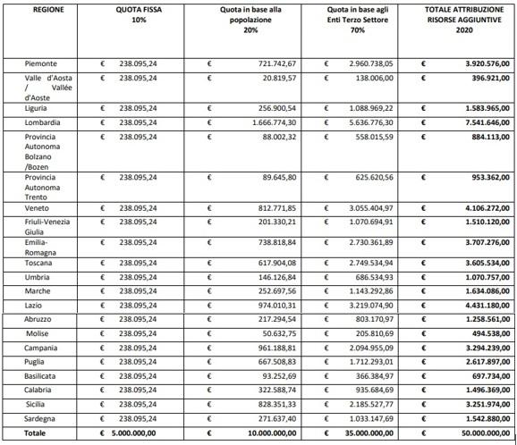
La ripartizione regionale ha seguito i seguenti criteri:

  • 10% assegnato a titolo di quota fissa;
  • 20% sulla base della popolazione residente, come da rilevazione ISTAT al 31.12.2019, resa pubblica in data 01.01.2020;
  • 70% sulla base del numero degli enti del Terzo settore, parimenti da rilevazione ISTAT al 31.12.2017 resa pubblica in data 11.10.2019.
Tabella ripartizione regionale
Tabella ripartizione regionale

L’Atto di indirizzo è anche un’occasione per ribadire il ruolo svolto dal terzo settore in questa fase. Come si legge nel testo “L’emergenza epidemiologica ha trovato una risposta impressionante per lo sforzo profuso da tutte le componenti della Repubblica: tra i principali attori di questo sforzo vi sono le tantissime organizzazioni del Terzo settore e un esercito di volontari, particolarmente impegnati sia nelle attività sanitarie che in quelle sociali, dirette ad alleviare le difficoltà delle persone più fragili. Per altro verso, le misure di contenimento del contagio, limitando o inibendo i contatti sociali, hanno comportato la sospensione delle attività statutarie di moltissimi enti del Terzo settore, principalmente impegnati nei settori della cultura, dell’educazione, dello sport e più in generale nelle attività di socializzazione. Il ruolo delle organizzazioni del Terzo settore è altrettanto importante nella fase post-emergenziale: esse rappresentano un enorme patrimonio di persone, impegno civico, senso di responsabilità, pronti a collaborare con le istituzioni pubbliche, a partire dal livello locale, nella fase di ripartenza nella quale è impegnato tutto il Paese”.

Maggio 2026
L M M G V S D
1 2 3
4 5 6 7 8 9 10
11 12 13 14 15 16 17
18 19 20 21 22 23 24
25 26 27 28 29 30 31
Torna su